Effekt av influensavaksine
Sist endret
Informasjon om kunnskapsgrunnlaget for beskyttende effekt av influensavaksiner, samt faktorer som påvirker effekten.
Hovedpunkter
- Effekten av influensavaksinen varierer fra år til år, men ligger i gjennomsnitt rundt 50 prosent. Det vil si at cirka halvparten av de vaksinerte er beskyttet mot influensasykdom.
- Effekten avhenger av egenskaper ved viruset, vaksinen og de som vaksineres.
- Noen får influensa til tross for vaksine. For disse ser det likevel ut til at vaksinen kan redusere risikoen for alvorlige sykdomsforløp.
Bakgrunn
Influensa utgjør en betydelig belastning for samfunnet og for helsetjenesten. Mellom 5 og 10 prosent av den uvaksinerte befolkningen får influensasykdom hvert år, skjønt andelen som blir influensasyke er høyere – opp mot 20 prosent – blant barn, voksne som bor med barn, og blant helsepersonell (1-3). Når det gjelder legesøkning for influensa, så vil 1,7 prosent av befolkningen få en influensadiagnose hos fastlege eller legevakt i en gjennomsnittlig influensasesong, og man ser normalt flere tusen sykehusinnleggelser årlig (4, 5).
Det er imidlertid også slik at en del av dem som får en influensainfeksjon ikke får, eller kun får milde symptomer på infeksjonen. Det er altså langt flere i en befolkning som møter influensaviruset hver vintersesong enn det er personer som blir influensasyke (jfr avsnitt "Asymptomatiske influensainfeksjoner"). Studier som har undersøkt hvor mange som får en influensainfeksjon, uavhengig av symptomtrykk – altså andelen symptomatiske og asymptomatiske tilfeller sett under ett – har anslått at omkring 20 prosent av befolkningen infiseres hver vinter, igjen med det funn at sannsynligheten for en infeksjon er høyest blant barn (6-8).
Personer med mild eller asymptomatisk influensainfeksjon skiller vanligvis ut færre virus over en kortere tidsperiode enn hva tilfellet er for personer med symptomatisk sykdom. Selv om de kan smitte andre er det derfor sannsynlig at de smitter i mindre grad enn hva tilfellet er for symptomatiske influensatilfeller (9, 10).
Asymptomatiske influensainfeksjoner
Å kjenne til omfanget og betydningen av også de asymptomatiske infeksjonene er viktig for å forstå virusets spredningsmønster og betydningen av ulike tiltak for å begrense spredning (11).
Det å studere hvor mange som har en asymptomatisk influensainfeksjon er dog en krevende øvelse. I tillegg til variasjoner som følger av forskjeller i studiepopulasjonen, varierer estimatet for andelen asymptomatiske infeksjoner også i vesentlig grad mellom studietyper. For eksempel vil metode for rekruttering av studiedeltakere, definisjon av (a)symptomatisk sykdom, rutiner/indikasjon for prøvetaking og symptomrapportering, metode for påvisning av influensavirus og oppfølgingstid i studiene kunne påvirke estimatene (9).
Systematiske oversiktsartikler på temaet har tidligere rapportert at andelen asymptomatiske ligger omkring 16 prosent basert på data fra utbruddsstudier (i hovedsak husholdningsstudier og studier fra sykehusmiljø)(12), omkring 33 prosent dersom man ser på data fra frivillige infeksjonsstudier (13), og opp mot 65 prosent - 85 prosent i longitudinelle seroepidemiologiske studier (12).
Gjennomgått influensainfeksjon vil ofte gi beskyttelse i flere år mot senere smitte med samme virus, samt mot nært beslektede stammer. Skjønt unge, friske mennesker som regel tåler influensa godt, er risikoen for å dø, utvikle alvorlig sykdom, oppleve forverring av en kronisk grunnsykdom eller utvikle følgetilstander som lungebetennelse etter influensa økt hos en del grupper. Foruten de som har økt risiko som følge av en eller flere kroniske sykdommer, er risikoen for et alvorlig forløp høyere blant de yngste og de eldste (4, 14-16).
Influensavirus utmerker seg ved at de har en særskilt evne til å unnvike immuniteten hos mennesker som har vært smittet tidligere, ved at det stadig oppstår mutasjoner i virusenes overflatestrukturer. Dette er en viktig grunn til at influensa rammer mennesker i alle aldre, selv om sykdom er hyppigere hos barn og unge.
De stadige end¬ringene fordrer også at vaksinens sammensetning evalueres før hver sesong. Evalueringen tar sikte på å avklare om en eller flere av komponentene i vaksinen må endres for å sikre best mulig overensstemmelse mellom vaksinen og de virus som sirkulerer i befolkningen. Dette gjøres to ganger i året, før vintersesongen på henholdsvis den nordlige og den sørlige halvkule. WHO har i den forbindelse opprettet et nettverk av nasjonale influensasentre som nøye overvåker og innrapporterer influensaaktivitet og endringer i sirkulerende virus (17). Norge bidrar til denne prosessen gjennom vår nasjonale virologiske overvåking (5).
Influensaovervåking i Norge
Influensaovervåkingen ved Folkehelseinstituttet har pågått siden 1950-tallet, og er med det den overvåkingen som har pågått lengst i Norge. Slik overvåkingen er utformet i dag, er den basert på henholdsvis influensarelaterte konsultasjoner i allmennpraksis og legevakt (andel pasienter med influensalignende sykdom, ILS) gjennom det norske syndrom-overvåkingssystemet (NorSySS), samt virusprøver fra pasienter i sykehus og primærhelsetjeneste ved den laboratoriebaserte overvåkingen. I tillegg overvåkes alvorlig influensasykdom ved å følge med på sykehusinnleggelser (Norsk pasientregister og MSIS labdatabasen), intensivinnleggelser (Norsk intensiv- og kriseregister) og influensa-assosierte dødsfall (Dødsårsaksregisteret). Overvåkingen foregår året rundt (18).
Hva påvirker effekten av influensavaksinen?
For å si noe enkelt om effekt av inaktiverte influensavaksiner oppgis ofte anslag på en «gjennomsnittlig vaksineeffekt». Denne ligger rundt 50 prosent (Tabell 1 og 2). Bildet er imidlertid mer sammensatt enn gjennomsnittsestimatet gir rom for, da vaksineeffekten avhenger av egenskaper ved viruset, ved vaksinen, og ved de som vaksineres. Estimater for effekten påvirkes også av design og gjennomføring av vaksineeffektstudier.
Egenskaper ved influensaviruset
Det er tre typer influensavirus som kan gi sykdom hos mennesker: A, B og C. Type C har liten klinisk betydning, mens type A og B er opphav til større eller mindre epidemier hvert år (19).
- Type A-virus kan subtypes og klassifiseres basert på kombinasjonen av hemagglutinin «H»-antigen (18 subtyper) og neuraminidase «N»-antigen (11 subtyper). De subtypene som for tiden sirkulerer blant mennesker er A(H1N1) og A(H3N2).
- Type B-virus ble tidligere delt inn i to hovedtyper («lineages»), kalt henholdsvis B-Victoria og B-Yamagata. Det er imidlertid kun B-Victoria som sirkulerer blant mennesker per i dag (se avsnittet "Covid-19-pandemiens påvirkning på influensasirkulasjon og -beskyttelse" under).
Covid-19-pandemiens påvirkning på influensasirkulasjon og -beskyttelse
Fra 4 til 3 sirkulerende influensavirus – bortfall av influensa B/Yamagata
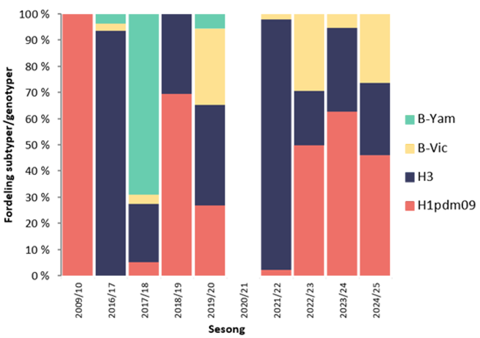
Svært mange land iverksatte til dels inngripende tiltak for å begrense spredning og konsekvenser av covid-19-pandemien (2020-2023). I mars 2020 stengte også Norge ned som følge av det nye SARS-CoV-2 viruset. De strenge smitteverntiltakene som ble iverksatt i 2020 og 2021 hemmet ikke bare sirkulasjon av SARS-CoV-2, men også influensa. Som figur 1 illustrerer var det svært lite influensavirus i omløp sesongen 2020/21. Av 150 000 analyserte prøver ble det kun påvist 20 tilfeller av influensa i Norge i løpet av sesongen, deriblant ingen tilfeller av B/Yamagata (20). Faktisk har det ikke vært påvist noen tilfeller av B/Yamagata etter mars 2020, verken i Norge eller på verdensbasis (jfr figur 2). I 2023 besluttet WHO derfor å fjerne denne stammen fra influensavaksinene, for å unngå enhver risiko for reintroduksjon av dette viruset i forbindelse med produksjon eller bruk av influensavaksine (21-24).
Effekt av covid-19-pandemien på beskyttelse mot influensa
Lite smitte under covid-19-pandemien førte til bekymringer for «immunologisk gjeld» - det vil si at befolkningen ville være mer utsatt for blant annet influensa når tiltakene mot covid-19-pandemien opphørte og influensa igjen ville sirkulere, med store epidemier som konsekvens. En studie fra Folkehelseinstituttet som undersøkte nivåer av beskyttende antistoffer mot influensa i ulike aldersgrupper for perioden fra 2019 til 2023, viste da også at beskyttelsen mot influensa falt markant hos de yngste barna (fra 0-4 år) under koronapandemien (25). Dette skyldtes at mange barn i denne aldersgruppen ikke hadde vært eksponert for influensasmitte så langt i sin levetid, og derfor ikke hadde opparbeidet seg immunitet mot influensa. Etter at smitteverntiltakene ble opphevet i 2022 førte dette til en høy smitteforekomst blant de yngste barna i 2022/2023-sesongen (26), med en påfølgende observerbar økning i beskyttelse mot influensa hos de yngste barna fra høsten 2023 (27). I andre aldersgrupper holdt beskyttelsen seg imidlertid relativt stabil gjennom pandemien mot tidligere sirkulerende virusstammer, og man observerte til og med en økning i beskyttelse mot virus inkludert i vaksinen - særlig blant de eldste, som hadde en høy vaksinasjonsdekning. Resultatene indikerer derfor at reduksjon i beskyttelse mot influensa i disse aldersgruppene under covid-19-pandemien skyldtes endringer i sirkulerende virus (antigen drift), snarere enn at effekten av tidligere opparbeidet immunitet ble svekket over tid («waning») (25). En studie basert på data fra henholdsvis Hong Kong og Michigan i samme tidsrom fant tilsvarende resultater (28).
Hvert av influensavirustypene har sine unike egenskaper, som påvirker hvordan de utvikler seg over tid, hva slags sesonger vi får nå de er i omløp, og hvor utfordrende det er å lage en effektiv vaksine mot dem. Det er særlig hvor fort virusene endrer seg, samt det at det er vanskelig å forutsi hvilke(t) virus som vil dominere kommende influensasesong, som gjør det vanskelig å velge virus til vaksineproduksjon. I det følgende beskrives virusutvikling, virussirkulasjon og samspillet mellom disse.
Influensavirus er i stadig endring. Mindre endringer i viruset («antigenic drift») fører til nye epidemier hvert år i den kalde årstiden (sesonginfluensa), mens store plutselige forandringer («antigenic shifts») forårsaker pandemier.
- Det siste «shift» fant sted under influensapandemien i 2009, da influensa A(H1N1)-viruset som ble introdusert i 1978, ble byttet ut med det nye A(H1N1)pdm2009-viruset (29).
- Omfanget av de årlige vinterepidemiene avhenger av hvor stor del av befolkningen som har beskyttende immunitet mot årets virus – som igjen avhenger av hvor mye sesongvirusene har endret seg siden sist de sirkulerte i befolkningen. Et nylig eksempel på samspillet mellom virussirkulasjon og befolkningens immunitet mot influensavirus er at tiltak for å hindre spredningen av Covid-19-pandemien i perioden 2020 til 2022 påvirket befolkningens immunitet mot influensa og omfanget av smittespredningen da tiltakene ble opphevet (jfr avsnitt "Covid-19-pandemiens påvirkning på influensasirkulasjon og -beskyttelse" over).
Skjønt alle influensavirus er i kontinuerlig utvikling er det variasjon mellom virustypene når det gjelder hvor ofte de uttrykker mindre genetiske endringer som får betydning for befolkningens immunitet og vaksinens effektivitet. Endringstakten er høyere for influensa A enn for influensa B, og blant influensa A-virus er det subtypen A(H3N2) som har vist den høyeste endringstakten (30, 31).
Når det gjelder virusenes sirkulasjonsmønster her i Norge, så faller influensasesongen vanligvis innenfor perioden november til mars, med utbrudd som gjerne begynner i førjulstiden og varer omtrentlig 6-8 uker, noen ganger lenger. De siste 10 årene har influensatoppen kommet enten rundt nyttår eller i forbindelse med vinterferien rundt uke 8 (Figur 1).
Det er vanlig at man ser sirkulasjon av mer enn ett influensavirus i løpet av en sesong (jfr Figur 2). Da er det gjerne slik at ett virus dominerer tidlig i sesongen, mens et annet tar over mot slutten av sesongen.
I tillegg vil man gjerne se flere varianter av den samme subtypen i omløp (jfr Figur 3).
Egenskaper ved influensavaksinen
Som nevnt over evalueres vaksinen hvert år for å følge virusutviklingen. Vaksinen inneholder i dag tre vaksinevirus; influensa A(H1N1), influensa A(H3N2) og influensa B(Victoria). Hvor god effekt vaksinen har en gitt sesong avhenger blant annet av graden av overensstemmelse mellom vaksinevirus og sirkulerende virus, produksjonsfaktorer og håndtering av vaksinen.
Hvor stor grad av overensstemmelse det er mellom vaksinevirus og sirkulerende virus omtales som vaksinematch. Jo bedre «match», jo bedre effekt kan man forvente. Match er altså et gradsspørsmål, selv om man for enkelhets skyld klassifiserer det som «match» eller «mismatch». Dette, samt det forhold at match må vurderes separat for hvert av influensavirusene som sirkulerer i løpet av en influensasesong, er en av grunnene til at man gjerne ser noen grad av beskyttelse fra influensavaksinen selv i sesonger med «mismatch» (jfr Tabell 1 og 2, samt figur 4).
Produksjonsprosessen er også av betydning. Det tar omtrent 6 måneder å produsere den tradisjonelle egg-baserte influensavaksinen som står for det største produksjonsvolumet verden over, og det medfører at virusstammene til neste sesongs vaksine velges ut flere måneder før vaksinen skal brukes (i månedsskiftet februar/mars for influensasesongen på den nordlige halvkule). Det lange tidsintervallet øker sannsynligheten for endringer i sirkulerende virus som får betydning for hvor god beskyttelse vaksinen gir («match») i sesongen. Da virus til influensavaksine i hovedsak produseres i egg, må vaksineviruset også tilpasses vekst i egg for å få et godt produksjonsutbytte. Av dagens virus er A(H3N2) spesielt vanskelig å dyrke uten at det oppstår små mutasjoner under produksjonen som kan gjøre vaksinevirus ulikt sirkulerende virus (32, 33).
Logistikk og håndtering av vaksinen kan også påvirke effekten. Dette fordi influensavaksinen er et biologisk legemiddel som er følsomt for temperatursvingninger Se kapittel Når noe er gjort feil i vaksinasjonshåndboka for helsepersonell.
Egenskaper ved de som vaksineres
Effekt av influensavaksiner varierer i noen grad etter hvem det er som vaksineres. En lang rekke faktorer kan tenkes å spille inn; i det følgende omtales noen av de mest sentrale, som fødselsår, alder, immunhistorie og komorbiditet.
Fødselsår (eller fødselskohort) ser ut til å ha betydning for hvor utsatt man er for ulike influensavirus, da man senere i livet vil ha størst motstandsdyktighet mot de(t) første virus man møter (34-38). For personer født før 1957 var det første influensa A-viruset de møtte en variant av A(H1N1), i årene 1957 til 1967 var det A(H2N2), for personer født i perioden 1968-1977 var det A(H3N2), mens bildet er mer komplekst for personer født etter 1977, ettersom man i disse årene har hatt både A(H1N1) og A(H3N2) i sirkulasjon. Dette er én av mekanismene bak det forhold at de eldste kohortene har blitt særlig hardt rammet i A(H3N2)-sesonger sammenliknet med A(H1N1)-sesonger de siste årene (39). Merk imidlertid at selv om flere fødselskohorter er (de født før 1957) eller kan være (de født etter 1977) imprintet med A(H1N1), så er det store forskjeller mellom de A(H1N1)-virusene som sirkulerte før og etter 2009. Den A(H1N1)-varianten som dukket opp igjen i 1977 var nemlig svært lik det viruset som døde ut i forbindelse med A(H2N2)-pandemien i 1957-58 (”Asiasyken”) (40). Etter reintroduksjonen i 1977 fortsatte denne A(H1N1)-varianten å sirkulere og utvikle seg - helt til det ble fortrengt av det nye A(H1N1)pdm09-viruset som kom i 2009 (”svineinfluensapandemien” på folkemunne), hvis etterkommer fremdeles sirkulerer. Det er også nylig vist at en tilsvarende mekanisme er aktiv for influensa B (40). Dette innebærer at de som trolig møtte B/Yamagata som sitt første influensa B-virus (i hovedsak personer født fra sent 1980-tall til sent 1990-tall; større grad av kosirkulasjon i årene etter gir et mer blandet bilde for disse kohortene) vil være mer sårbare for fremtidig infeksjon med B/Victoria (40, 41). Dette fenomenet – at ens første influensainfeksjoner påvirker forsvaret mot influensa gjennom et helt livsløp - ble opprinnelig omtalt som «original antigenic sin», mens det i dag gjerne omtales med mer verdinøytrale begreper som «antigenic seniority» eller «immune imprinting» (42, 43). Forskningen har da også etablert et stadig klarere bilde av at forholdet mellom tidligere opparbeidet immunitet og stadige møter med nye virus - ved infeksjon eller vaksinasjon - er i utvikling hele livet («antibody landscapes» (44)). Summen av tidligere erfaringer former individets sårbarhet overfor og evne til å mønstre et infeksjonsforsvar mot nye/driftete virusvarianter - eller for den del til å svare med en immunrespons som gir beskyttende immunitet etter vaksinasjon (39, 45-48).
Alder er viktig. Små barn har liten eller ingen forutgående immunitet når de møter et nytt virus. Dette har betydning for deres evne til å slåss mot en influensainfeksjon, og for evnen til å mønstre et immunsvar etter vaksinasjon (49). Skjønt en andel barn i alderen 0-6 måneder ikke har målbare antistoffer mot influensavirus, vil de fleste ha antistoffer mot ett eller flere influensavirus gjennom overføring av mors antistoffer mot slutten av svangerskapet og gjennom brystmelk. Disse antistoffene svinner imidlertid gradvis, og erstattes av antistoffer og cellulære responser fra barnets egne møter med ulike influensavirus i de første leveårene, i takt med den generelle utviklingen av immunforsvaret (50-54). Denne utviklingen har også betydning for bruken av influensavaksine hos små barn, ettersom barn som ikke har møtt influensaviruset tidligere (ved infeksjon eller vaksinasjon), kun vil ha en begrenset immunrespons etter én dose influensavaksine. Derfor anbefales to doser influensavaksine til barn i alderen 6 måneder til 8 år. For de aller minste barna (<6 mnd) finnes ingen godkjent vaksine, da den inaktiverte injeksjonsvaksinen ikke virker på denne aldersgruppen (55, 56). Disse barna må derfor lene seg på overførte antistoffer fra mor (57, 58). Hos eldre mennesker ser man endringer i immunsystemet (omtalt som «immunosenescence»; «immunaldring»), som gjør eldre mer utsatt for alvorlige infeksjoner og fører til en økning i kreftforekomst og andre kroniske sykdommer. Kroppen settes også i en kronisk lavgradig betennelsestilstand (omtalt som «inflammaging»). Immunaldringen medfører en dårligere vaksinerespons, som særlig kommer til uttrykk ved fylte 65-70 år. Det skyldes blant annet at immunforsvaret med økende alder responderer saktere og mindre kraftig enn hos yngre, samt at
evnen til å aktivere det spesifikke (ervervete) immunforsvaret reduseres (59-62).
Hvor hyppig man infiseres, hvor stor smittedose man har fått, og hvor syk man har blitt ved tidligere møter med influensaviruset, påvirker hvor sårbar man er for nye infeksjoner (63-65). Foruten vaksinering, kan en lang rekke faktorer spille inn på eksponering for influensavirus og infeksjons-risiko, så som alder, bosted og livsstil, sosial omgang og familiesituasjon, samt eventuell yrkeseksponering - som for eksempel for bussjåfører, barnehageansatte og helsepersonell (2, 66, 67). Sykdommer og/eller bruk av legemidler som kan svekke immunforsvaret øker i mange tilfeller også risikoen for influensainfeksjon eller et mer alvorlig sykdomsforløp, som for eksempel ved kreft, organtransplantasjon og behandling med TNF-α-hemmere. Mange pasienter med ulik grad av immunsvekkelse anbefales vaksine og kan forvente en vaksineeffekt på linje med personer med et normalt immunforsvar (merk at levende vaksiner, som er et alternativ for barn i alderen 0-17 år, er kontraindisert for personer med immunsvikttilstander). For enkelte grupper vil imidlertid effekten av inaktiverte injeksjonsvaksiner være redusert. For å redusere risikoen for influensainfeksjon hos disse bør derfor nærkontakter og helsepersonellet rundt dem la seg vaksinere (68, 69).
Egenskaper ved studier på vaksineeffekt
Effekt av influensavaksine kan måles som beskyttelse mot influensa i seg selv, eller som beskyttelse mot alvorlige følgetilstander av influensa, som lungebetennelse, sykehusinnleggelse eller død. Hvor stor tillit man kan ha til estimater på vaksineeffekt mot de ulike utfallene, avhenger av hvor sikker man kan være på at det faktisk var influensavirus som forårsaket sykdomstilfellene man studerer.
Gullstandarden for påvisning av infeksjon med influensavirus er laboratoriebekreftelse ved RT-PCR (reverse transcription-polymerase chain reaction) eller virusdyrkning, da dette er metodene med best evne til å både finne influensatilfeller (testenes sensitivitet), til å unngå falske positive tilfeller (testenes spesifisitet), samt til å fastslå hvilken subtype det eventuelt er snakk om (70, 71). Det finnes imidlertid også en lang rekke laboratorietester for påvisning av influensa (serologisk påvisning av antistoffer og ulike hurtigtester). Hurtigtester basert på antigenpåvisning har gjerne mangelfulle testegenskaper og/eller såpass varierende testegenskaper avhengig av hvilken populasjon de brukes på, at de er uegnet til forskning på vaksineeffekt (72, 73). Gode hurtigtester som kan utføres mens pasienten venter (molekylærbaserte point-of-care-tester; hurtig RT-PCR) kan på den annen side gi mulighet for raskere og bedre behandlingsvalg, mer målrettete smitteverntiltak og bedre diagnosedata (74, 75). Skjønt hurtig RT-PCR-testene begynner å nærme seg like god sensitivitet som tradisjonell RT-PCR (75, 76), er det dog fremdeles en utfordring at en del av dem ikke evner å påvise subtype, noe som vil gi mangelfulle data på sirkulerende virustyper dersom disse testene brukes til overvåkingsformål. Denne mangelen gjør også at de per i dag ikke kan erstatte gullstandarden i vaksineeffektstudier (72).
Utfall basert på symptombilder/klinisk diagnose, som reduksjon i influensalignende sykdom (ILS) eller akutt luftveisinfeksjon (acute respiratory infection, ARI), er upresise mål for vaksineeffekt som likevel har vært benyttet i stort omfang fordi denne type data er lett tilgjengelig. Ettersom sykdomshendelser med influensalignende symptomer er svært vanlig, og at dette kan skyldes en lang rekke agens i tillegg til influensa (virus og bakterier som vaksinen ikke virker mot) – vil mange feilaktig klassifiseres med influensainfeksjon selv om de ikke har influensa (mange falske positive; lav spesifisitet). Brukes ILS i studier på vaksineeffekt vil effektestimatet derfor nødvendigvis bli vesentlig lavere enn estimater for vaksineeffekt mot laboratoriebekreftet influensa. «Influensalignende sykdom» er således ikke et egnet utfallsmål for studier på vaksineeffekt (77).
En annen viktig forutsetning for effektstudier er videre at det sirkulerer virus i studieperioden. Darvishian et al. (2014) viste på bakgrunn av effektestimater fra case-control-studier av test-negativt design (TND) (jfr tabell 2) at vaksinen gir beskyttelse ved både match og mismatch i sesonger med sirkulerende virus, men at det ikke er mulig å påvise en beskyttende effekt på befolkningsnivå i sesonger med kun lokal, sporadisk eller ingen influensasirkulasjon (78). Sagt på en annen måte; selv om vaksinen kan beskytte enkeltindivider som møter influensaviruset i perioder med lite virussirkulasjon, så vil ikke effekten være målbar på befolkningsnivå fordi det samlet sett er for få sykdomstilfeller. Når data skal sammenstilles i systematiske oversikter som omfatter flere sesonger bør studiesesonger uten tilstrekkelig virussirkulasjon derfor analyseres for seg (jfr figur 4), men dette gjøres dessverre sjelden.
Studiedesign for effektstudier på influensavaksine
Flere ulike studiedesign benyttes i studier på vaksineeffekt. De ulike studietypene har ulike utfordringer, knyttet til alt fra kostnadsnivå til skjevheter som følger av måten deltakere rekrutteres på (seleksjonsskjevheter), samt metoder for informasjonsinnhenting og kvalitetssikring (informasjonsskjevheter). Om resultatene fra ulike studiedesign gir estimater i samme område, vil det styrke tilliten til estimatene (79).
Randomiserte kontrollerte studier (RCT’er) er ansett som den beste metoden for å måle effekt av tiltak, herunder vaksiner (80). Her rekrutteres et utvalg deltakere som fordeles tilfeldig til vaksine eller placebo/annen vaksine. Utvalget følges så gjennom influensasesongen, og man måler fortløpende hvor mange som får influensa blant de vaksinerte sammenliknet med de uvaksinerte. Metoden sikrer at studiedeltakere fordeles tilfeldig til vaksine eller placebo, slik at gruppene som sammenlignes i studiepopulasjonen er så like som mulig. RCT-er kan imidlertid være ressurskrevende og medføre etiske utfordringer i populasjoner der sesongvaksinasjon mot influensa allerede er anbefalt (som gravide og personer med ulike kroniske sykdommer). Tilgjengelige data er derfor ofte fremskaffet i friske populasjoner, som ikke nødvendigvis er anbefalt vaksine.
Data fra observasjonsstudier er derfor et viktig supplement. Ulike design brukes for å fremskaffe data på effekt av vaksinen i ordinær bruk, hver med sine fordeler og ulemper. Kohortstudier kan etableres ut fra eksisterende registre (så som pasientregistre eller forsikringsdatabaser) eller ved egen rekruttering av deltakere (eksempelvis enkeltindivider, yrkesgrupper, husholdninger). I en prospektiv kohortstudie på effekt av influensavaksine samler man først et utvalg og innhenter basale data om dem, for så å følge deltakerne over tid med jevnlig testing for å se om andelen som får influensa i studieperioden varierer mellom de som tok og de som ikke tok vaksine i oppfølgingsperioden (se for eksempel (81)). I en retrospektiv kohortstudie etablerer man et utvalg og bruker denne til å se bakover i tid for å fastslå om andelen som fikk influensa eller andre influensarelaterte utfall varierte etter vaksinasjonsstatus i studieperioden, for eksempel ved å bruke data fra administrative helseregistre) (se for eksempel (82). En utfordring ved å bruke kohortstudier som disse til å måle vaksineeffekt, er at det kan forekomme systematiske forskjeller mellom de vaksinerte og de uvaksinerte (etter for eksempel helsetilstand, helseatferd eller sosioøkonomiske/demografiske faktorer) som ikke lar seg måle med tilgjengelige data. Tilsvarende kan tendensen til å søke legehjelp variere mellom vaksinerte og uvaksinerte – og derved kan man komme til å teste flere vaksinerte enn uvaksinerte, noe som også kan påvirke effektestimatene.
Et studiedesign som forsøker å justere for en del metoderelaterte utfordringer i de overnevnte studiedesignene, og i særdeleshet utfordringen med variasjoner i legesøkning, er kasus-kontroll-studier av typen test-negativ design (TND). I TND-studier rekrutteres deltakere som oppsøker legehjelp på grunn av influensaliknende sykdom (ILS) eller akutt luftveisinfeksjon (ARI). De som tester positivt for influensa inkluderes som kasus, og de som tester negativt utgjør kontrollene. Deretter innhentes vaksinasjonsstatus i de to gruppene, hvorpå man sammenlikner forekomsten av influensa blant vaksinerte og uvaksinerte. Denne studietypen har de siste 15-20 årene blitt stadig mer brukt i studier på influensavaksineeffekt - både ved enkeltstudier og som del av nasjonale/flernasjonale overvåkingssystemer. Skjønt datagrunnlaget til disse studiene mange steder er relativt lett tilgjengelig, i tillegg til at studiene er kostnadseffektive og gir raske resultater, har de også sine svakheter. Eksempelvis kan valg av kasusdefinisjon (hvem som velges ut for testing, basert på hvilke symptomer (83)), hvilken test som brukes (73), samsirkulasjon av flere virus i studieperioden (for eksempel covid-19 og influensa, særlig dersom de som tar den ene vaksinen også gjerne tar den andre, slik at beskyttelse mot andre virus enn influensa heller ikke er tilfeldig fordelt i populasjonen) (84, 85)), sesongdefinisjoner med mer - noe som også diskuteres hyppig i fagmiljøene (86, 87).
Inaktiverte sesonginfluensavaksiner – effekt mot laboratoriebekreftet influensa
For mer informasjon om inaktiverte vaksiner, se kapittel Immunitet og hvordan vaksiner virker i vaksinasjonshåndboka for helsepersonell (FHI), eller SPC for den enkelte vaksine på Direktoratet for medisinske produkter (88). Full effekt av vaksinen inntrer i løpet av 1-2 uker etter vaksinasjon (89, 90).
Effekten av inaktiverte influensavaksiner varierer, men ligger vanligvis rundt 50 prosent. Systematiske oversiktsartikler på effekt av inaktiverte sesonginfluensavaksiner har funnet at effekten ligger rundt 60 % for friske voksne basert på data fra randomiserte kontrollerte studier (RCT), og rundt 45% basert på data fra studier av test-negativt design. Tabell 1 og 2 oppsummerer effektestimater for henholdsvis RCTer (80, 91-94) og TND-studier (78, 87, 95, 96) fra nylige systematiske oversiktsartikler mot laboratoriebekreftet influensa. Tabellene forteller at vaksineeffekten er lavere i sesonger med mismatch, men man ser også at den største effektvariasjonen er å finne mellom ulike virustyper, da effekten mot A(H1N1) og influensa B over tid har vært vesentlig bedre enn effekten mot A(H3N2).
Tabell 1: Estimater for effekt av influensavaksine - randomiserte kontrollerte studier (RCT).pdf
En viktig forutsetning for effektstudier er at det sirkulerer virus i studieperioden. Darvishian et al. (2014) viste på bakgrunn av effektestimater fra TND-studier (jfr tabell 2) at vaksinen gir beskyttelse ved både match og mismatch i sesonger med sirkulerende virus, men at det ikke er mulig å påvise en beskyttende effekt på befolkningsnivå i sesonger med kun lokal, sporadisk eller ingen influensasirkulasjon (35). Selv om vaksinen kan beskytte enkeltindividet i perioder med lite virussirkulasjon, vil effekten ikke være målbar på befolkningsnivå på grunn av få sykdomstilfeller. Når data skal sammenstilles er det derfor viktig at studiesesonger uten tilstrekkelig virussirkulasjon analyseres for seg.
Vaksinens beskyttende effekt påvirkes også av «match». Som omtalt over er dette et gradsspørsmål, i tillegg til at match vurderes separat for hver enkelt vaksinekomponent. Mismatch for et eller flere vaksinevirus er derfor ikke ensbetydende med mangel på effekt; effekten er dog jevnt over lavere i sesonger med mismatch (29;35-37) enn sesonger med match; jfr tabell 1 og 2.
Den største effektvariasjonen finner man imidlertid mellom ulike virustyper (36;37). Effekten mot A(H1N1) og influensa B (begge genotyper sett under ett) har vært vesentlig bedre enn effekten mot A(H3N2) i de senere år. En ny studie av Belongia et al. (jfr tabell 2) fant at vaksineeffekten mot A(H1N1) og B er omtrent 50-70 %, mens effekten mot A(H3N2) har sunket i senere år og nå ligger rundt 30 %.
Beskyttelse mot alvorlig influensasykdom
Dagens influensavaksiner reduserer risikoen for å få laboratoriebekreftet influensa med 60 %. En del av de vaksinerte vil altså kunne få influensasykdom selv om de har tatt vaksinen. Det er derfor viktig å vite om vaksinering gir et mildere sykdomsforløp, og om vaksinen reduserer sannsynligheten for sekundære utfall som lungebetennelse, sykehusinnleggelse eller død. Vi presenterer her kunnskapsgrunnlaget for dette.
Vaksinens effekt på influensasymptomer
Én måte å undersøke om vaksinerte får mildere influensasykdom, er å måle hvorvidt det er forskjell i forekomst og alvorlighet av symptomer blant vaksinerte versus uvaksinerte med influensainfeksjon. Per i dag er det kun et fåtall studier som har sett på dette, og enda færre som har brukt laboratoriebekreftelse ved RT-PCR eller viruskultur for å fastslå hvorvidt symptomene virkelig skyldes influensavirus (jfr egenskaper ved studiene).
De fleste av disse studiene har rekruttert deltakere blant personer som alt har søkt legehjelp for akutt respiratorisk sykdom (medically attended acute respiratory disease, MAARI) eller influensalignende sykdom (ILS). Det er verdt å påpeke at dersom vaksinen mildner symptomer i en slik grad at vaksinerte influensasyke ikke føler behov for å oppsøke lege, vil denne beskyttelsen ikke kunne måles i slike studier, og den reelle vaksineeffekten vil da kunne underestimeres. En annen utfordring er at mønster for legesøkning – eller for den del symptomrapportering og forventninger til vaksinen - kan være forbundet med forhold som helsetilstand, sosioøkonomisk posisjon og tilgang til helsetjenester. Dersom slike faktorer igjen er knyttet til risiko for (alvorlig) influensasykdom vil dette også påvirke studieresultatene.
Aktuelle studier på forekomst og alvorlighet av symptomer blant voksne vaksinerte versus uvaksinerte med laboratoriebekreftet influensainfeksjon har i hovedsak benyttet seg av selvrapporterte symptomer, men ved bruk av ulike måleverktøy. I en studie fra Frankrike rettet mot personer 65 år eller eldre fant Mosnier et al. (2017 (38) beskjedne forskjeller mellom vaksinerte og uvaksinerte influensasyke i favør av vaksinen, der kun forskjellen i rapportert hodepine var signifikant etter justering for alder, influensasesong og virustype.
De tre øvrige studiene er alle fra USA. Justert for bl.a. kjønn, helseforsikring og enkelte komorbide tilstander så VanWormer et al. (2014 (39) ingen forskjeller i selvrapportert symptomskår blant personer under 65 år - mens de for personer over 65 år fant en signifikant reduksjon i samlet symptomskår for vaksinerte sammenlignet med uvaksinerte med influensasykdom. Resultatene til Deiss et al. (2015 (40), som rekrutterte deltakere fra en relativt ung populasjon (median alder 30,6 år) av militært personell og deres familier, viste lavere symptomskår og kortere varighet av symptomer blant vaksinerte med influensa A(H3N2), men ikke for A(H1N1). Resultatene var justert for kjønn, influensasesong og bruk av antiviralia. Den siste studien av Petrie et al. (2016 (41), undersøkte et større antall mulige justeringsvariabler, herunder kjønn, alder, influensarelatert komorbiditet, sosioøkonomisk posisjon og bruk av antiviralia. De fant beskjedne, men signifikante forskjeller mellom vaksinerte og uvaksinerte personer med bekreftet influensa, i retning av bedre selvrapportert helsetilstand og mindre påvirkning på daglig aktivitetsnivå blant vaksinerte influensasyke.
Med unntak av studien til Petrie og medarbeidere (41) er resultatene over kun justert for et begrenset antall faktorer som kan tenkes å påvirke legesøkning og risiko for alvorlig influensasykdom. Forskjellene går i favør av influensavaksinen, men resultatene er basert på små utvalg og forskjellene er beskjedne. Det er derfor behov for flere og større studier før man kan konkludere på spørsmålet om vaksinen mildner influensasymptomer.
Vaksinens effekt på pneumoni (lungebetennelse)
Lungebetennelse av viral (som direkte følge av influensainfeksjonen), og/eller bakteriell (sekundær infeksjon) årsak er en hyppig komplikasjon til influensasykdom som ofte er forbundet med et alvorlig sykdomsforløp. I en norsk studie (Holter et al. 2015) på pasienter innlagt med mistanke om pneumoni (N = 267) fant forfatterne influensainfeksjon hos 14 %; av disse hadde omtrent halvparten en samtidig bakteriell infeksjon (42).
Anslag på vaksinens beskyttelse mot lungebetennelse har vist stor variasjon, fra noen få til opp mot femti prosents effekt (43-46). Variasjonen kan tilskrives flere faktorer. Én utfordring er bruk av uspesifikke endepunkter som «pneumoni av alle årsaker». Dette er et problem fordi vaksinen kun virker mot influensavirus, mens slike utfall vil inkludere tilfeller av lungebetennelse der influensa ikke har vært en del av sykdomsforløpet (jfr (30). En annen utfordring er utilstrekkelig justering for potensielle effektforvekslende faktorer (som alder, helsetilstand, vaksinasjonsdekning i ulike grupper, infeksjonsrisiko, virussirkulasjon), ettersom slike faktorer kan påvirke effektestimatene (45;47).
En modelleringsstudie fra 2013 indikerer da også at en del studier har overestimert influensavaksinens effekt mot nettopp «pneumoni av alle årsaker» (såkalt community-acquired pneumonia, CAP) (47). Ferdinands et al. anslo - under forutsetning av en infeksjonsrate på 5 %, en vaksineeffekt på 55 % mot laboratoriebekreftet influensa og en vaksinasjonsdekning på 38 % - at 15 % (95 % KI 2-38%) av alle pneumonier er forbundet med influensainfeksjon (et anslag i overensstemmelse med resultatet fra den norske studien til Holter et al. (43)). Modellens anslag for forventet effekt av influensavaksinen mot «pneumoni av alle årsaker» var da på omtrent 7 % (95 % KI 0-25 %), og forfatterne fant det lite sannsynlig at effekten ville overstige 25 % med de overnevnte premisser (47).
En vaksineeffekt mot «pneumoni, alle årsaker» på opp mot 25 % kan virke beskjeden, men selv en beskjeden effekt mot potensielle følgetilstander som pneumoni vil kunne ha klinisk betydning. Videre kan man anta at effekten vil være høyere dersom man kun ser på effekt mot pneumoni etter laboratoriebekreftet influensasykdom, men slike studier er mangelvare i dag.
Vaksinens effekt på “alvorlig influensasykdom” – sykehusinnleggelse, intensivinnleggelse og mortalitet
En annen måte å studere forskjeller i alvorlighet på, er ved å undersøke om det er systematiske variasjoner i risiko for alvorlig influensasykdom - som oftest definert som sykehusinnleggelse, intensivinnleggelse og/eller død - blant henholdsvis vaksinerte og uvaksinerte personer med laboratoriebekreftet influensa. Også her er det per i dag få studier av høy kvalitet, men enkelte studier bør likevel omtales.
Castilla og medarbeidere (2013) gjennomførte sesongen 2010-11 en matchet kasus-kontroll-studie ved 29 sykehus i Spania (48). Sesongen var dominert av influensa A(H1N1), og alle aldersgrupper var representert i studiepopulasjonen. Det var 691 innlagte med laboratoriebekreftet influensa (målt ved RT-PCR) i sesongen. Forfatterne fant ingen systematiske forskjeller i sannsynlighet for generell sykehusinnleggelse på grunn av laboratoriebekreftet influensasykdom (RT-PCR) etter vaksinasjonsstatus. Forekomst av alvorlig influensa (definert som intensivinnleggelse eller død i sykehus) varierte imidlertid etter vaksinasjonsstatus: Av de innlagte utviklet 177 personer alvorlig influensa, men innlagte vaksinerte utviklet sjeldnere alvorlig sykdom enn de som ikke hadde tatt vaksinen (en reduksjon på 48 % (95 % KI 12-78 %). Resultatene ble justert for bl.a. alder, tidligere innleggelser og risikofaktorer for alvorlig influensa. Effekten var enda mer uttalt for personer over 65 år sammenlignet med yngre aldersgrupper, men forskjellen mellom aldersgruppene var ikke signifikant.
En studie av test-negativt design fra USA av McLean et al. (2014) undersøkte hvorvidt influensavaksine reduserte sannsynligheten for sykehusinnleggelse som følge av infeksjon med influensa A (84 % av disse var influensa A(H3N2)) eller influensa B blant personer over 20 år som søkte legehjelp for akutt respiratorisk sykdom over 8 influensasesonger (2004/05-2012/13) (49). Av 4996 undersøkte hadde 1393 laboratoriebekreftet influensa (påvist ved RT-PCR eller viruskultur); 79 av disse ble innlagt. Analysen er justert for alder, risikofaktorer for influensa og kjønn. Som for Castilla et al. (48) fant forfatterne ingen forskjell i risiko for sykehusinnleggelse generelt blant vaksinerte versus uvaksinerte tilfeller. Studien var dessverre ikke stor nok til å studere eventuelle forskjeller i alvorlighet av sykdom (ved intensivinnleggelse eller død) blant innlagte, der Castilla altså så signifikante forskjeller etter vaksinasjonsstatus (49).
Casado et al. (2016) tok utgangspunkt i pasienter 65 år eller eldre innlagt med laboratoriebekreftet influensa (N = 433, herav 60 % med influensa A(H1N1)) i influensasesongen 2013/14 i Spania (50). Hensikten med studien var å undersøke hvorvidt vaksinerte pasienter hadde redusert risiko for alvorlig sykdom, her målt ved intensivinnleggelse eller død i sykehuset/innen 30 dager etter utskriving. Influensainfeksjon ble påvist ved RT-PCR eller immunofluoresens. Vaksinerte hadde gjennomgående lavere risiko for å utvikle alvorlig sykdom eller pneumoni sammenlignet med uvaksinerte, men forskjellen var kun signifikant blant pasienter med influensa A(H1N1), der vaksinasjon var forbundet med en reduksjon i risiko på 56% (95 % KI 11-78 %). Studien hadde ikke styrke (for få tilfeller) til å vise eventuelle forskjeller i risiko blant de øvrige influensasubtypene. I en analyse på vaksinerte innlagte viste studien for øvrig en tilleggsgevinst, i form av lavere risiko for alvorlig sykdom blant dem som var vaksinert over flere sesonger. For dem som var vaksinert både i studiesesongen og sesongen før var risikoen halvert sammenlignet med dem som kun var vaksinert i én sesong (52 %; 95 % KI 12-74 %) - og hver ekstra dose ut over dette siden 2010/11-sesongen var forbundet med ytterligere 22 % reduksjon i denne risikoen (95 % KI 9-34 %).
Arriola et al. 2017 (51) brukte overvåkingsdata fra den amerikanske studien FluSurv-NET for influensasesongen 2013-14. Forfatterne fant signifikante forskjeller i alvorlighet av sykdom etter vaksinasjonsstatus blant innlagte (N = 4910) med laboratoriebekreftet influensa (påvist ved RT-PCR, virus kultur, immunofluoresens, eller hurtigtest). Studien så på forskjeller innad i flere aldersgrupper. Alvorlighet av sykdom ble målt ved pneumoni, intensivinnleggelse og mortalitet, samt varighet av innleggelse i ordinær post/intensivpost. Sesongen var dominert av influensa A(H1N1). En større andel av de vaksinerte enn de uvaksinerte hadde komorbide tilstander, og – til forskjell fra de europeiske studiene – fikk alle studiedeltakere antiviral behandling. Justert for helsetilstand og sosioøkonomiske faktorer viste resultatene signifikante forskjeller i alvorlighet for vaksinerte versus uvaksinerte tilfeller for alle utfall med unntak av pneumoni. Vaksinasjon var forbundet med en reduksjon i risiko for død i sykehus på 79 % (95% KI 3-95 %) for aldersgruppen 18-49 år; 52 % (95 % KI 3-76 %) for 50-64 år, samt 61 % (95 % KI 34-83 %) for personer 65 år eller eldre. Risikoen for intensivinnleggelse var lavere for vaksinerte i to aldersgrupper (18-49 år: 37 %, 95 % KI 7-58 %; 65+: 37 %, 95 % KI 19-52 %). For de to eldste gruppene var også liggetiden kortere blant vaksinerte, både i ordinær post (50-64 år: 13 % (95 % KI 2-26 %); 65+: 24% (95 % KI 13-37%)) og intensivavdeling (50-64 år: 36 % (95% KI 6-74%); 65+: 34 % (95 % KI 6-73 %).
Forfatterne gjorde en tilsvarende studie for sesongen 2012-2013 (Arriola 2015) blant personer 50 år eller eldre, uten å gjøre tilsvarende funn (52). Denne studiesesongen var imidlertid dominert av influensa A(H3N2), og hadde en betydelig lavere vaksineeffekt mot laboratoriebekreftet influensa (26 % samlet sett i 2012-13 mot 50 % i 2013-14).
Basert på disse studiene er det ikke grunnlag for å si at influensavaksinen reduserer risiko for generell sykehusinnleggelse på grunn av influensa. Blant de tre studiene som var dimensjonert for å studere variasjoner i alvorlighet blant innlagte pasienter (48;50;51), fant imidlertid samtlige en lavere risiko for mer alvorlige utfall blant vaksinerte enn ikke-vaksinerte.
Se for øvrig omtalen av adjuvantert inaktivert influensavaksine og effekt på alvorlig influensa i kapitlet under.
Oppsummering – beskyttelse mot alvorlig influensasykdom
Basert på studiene beskrevet over er det indikasjoner på at influensavaksinering i noen grad kan redusere omfanget av influensasymptomer og komplikasjoner som lungebetennelse. Det ser også ut til at vaksinen er forbundet med en reduksjon i risiko for de mer alvorlige sykdomsforløpene blant pasienter som er innlagt for influensa. Det er imidlertid behov for flere gode studier. Noe av utfordringen ligger i at enkeltstudiene er relativt små, og at en del av forskningen av praktiske årsaker ikke er basert på laboratoriebekreftelse ved dagens gullstandard for påvisning av influensa (viruskultur eller RT-PCR). En annen utfordring er at ikke alle studiene har mulighet til å kontrollere for variasjoner i risiko for alvorlig influensa, mønstre for legesøkning eller sannsynligheten for å ha tatt vaksine.
Adjuvantert inaktivert sesonginfluensavaksine
Vaksineeffekt hos eldre
I sesonger der A(H3N2) dominerer (som i 2016/2017) rammes ofte den eldre delen av befolkningen særlig hardt. At A(H3N2) utgjør en spesiell risiko for de eldste, i form av mer alvorlig sykdom og en høyere risiko for sykehusinnleggelse og død i de eldste aldersgruppene, har ikke én forklaring. Som nevnt over ser det ut til at man gjennom livsløpet vil mønstre en mer robust immunreaksjon mot virus beslektet med det første influensaviruset man møtte (13;14). For dagens eldste er dette A(H1N1), ikke A(H3N2). Siden A(H3N2) dukket opp hos mennesker i 1968 (Hong Kong-syken), har viruset gjennomgått stadige endringer. A(H3N2) muterer hyppigere enn de øvrige virustypene, og dette gjør viruset særlig i stand til å unngå bestående immunitet i befolkningen (12;53;54). Med alderen svekkes også evnen til å danne stadig nye målrettete antistoffer. At eldre generelt responderer med en mindre målrettet immunreaksjon enn yngre individer, har betydning både i møtet med sirkulerende influensavirus og ved vaksinasjon (22;55;56). Selv om beskyttelse mot influensa er redusert hos eldre sammenlignet med yngre individer, vil vaksinasjon uansett kunne gi noe beskyttelse mot alvorlige utfall (som forverring av grunnsykdom, pneumoni, sykehusinnleggelse og død (50;57;58), og vaksinasjon er fremdeles det beste forebyggende tiltaket mot influensa.
Fluad (adjuvantert trevalent inaktivert influensavaksine, aIIV) inneholder overflateantigener (haemagglutinin, HA og neuraminidase, NA) fra tre ulike influensavirus: henholdsvis to influensa A-stammer (influensa A (H1N1) og influensa A(H3N2)) og én influensa B-stamme (influensa B-Victoria).
En dose Fluad inneholder totalt 45 µg antigen (15 µg HA per stamme), tilsvarende den mengden antigen man finner i de tradisjonelle trevalente sesonginfluensavaksinene. Fluad inneholder også en adjuvans; en olje-i-vann emulsjon kalt MF59. Denne er tilsatt for å øke kroppens immunreaksjon mot, og derved effekten av, vaksinen (59;60).
Fluad har hatt markedsføringstillatelse i Italia siden 1997. Vaksinen er siden starten solgt i over 114 millioner doser. Fluad er ansett som kostnadseffektiv blant de eldre (61;62), er anbefalt brukt i en lang rekke land og er den foretrukne vaksinen til de eldste i blant annet Storbritannia og Italia, hvor den også er gratis til målgruppen (63;64).
Det er vel kjent at eldre har økt risiko for alvorlig influensasykdom. Det anses av denne grunn som uetisk å kjøre placebokontrollerte randomiserte studier på influensavaksine til eldre, og det mangler derfor slike effektdata på bruken av aIIV i denne aldersgruppen. Det er imidlertid gjort en rekke immunogenisitetsstudier som har vist at vaksinen gir gode immunsvar hos eldre (65;66).
Ettersom bruken av vaksinen har økt har det også kommet flere observasjonsstudier som søker å måle effekten av vaksinen i ordinær bruk. Den første systematiske oversikten som så på effekten av aIIV sammenlignet med tradisjonelle influensavaksiner hos personer over 60/65 år fant en gjennomsnittlig effekt mot laboratoriebekreftet influensa på rundt 60 %, og en effekt på rundt 50 % mot influensarelaterte innleggelser (67). En italiensk nøstet kasus-kontroll studie som oppsummerte effektdata fra 15 influensasesonger i Italia fant en relativ effekt mot innleggelse grunnet influensarelaterte komplikasjoner (hjerteinfarkt, slag, pneumoni) av aIIV sammenlignet med IIV på 39 % (68). Data fra den første sesongen aIIV var i bruk i England viste også positive resultater: justert for demografiske variabler og helsetilstand fant de signifikant effekt av aIIV mot så vel laboratoriebekreftet influensa som influensarelaterte innleggelser på 53 % for influensa generelt, 65 % for influensa A(H1N1) og 39 % for influensa A(H3N2) (69).
Levende attenuert sesonginfluensavaksine
For mer informasjon om levende attenuert sesonginfluensavaksine, se kapittel Influensavaksinasjon i vaksinasjonshåndboka for helsepersonell (FHI), eller SPC for Fluenz på nettsidene til Direktoratet for medisinske produkter (32). Vaksinen er i Norge kun godkjent til bruk i aldersgruppen 2-17 år. Full effekt av vaksinen inntrer i løpet av 1-2 uker etter vaksinasjon (70).
I forbindelse med at levende attenuert influensavaksine (LAIV) kom på markedet i Norge i 2013, gjorde Folkehelseinstituttet en litteraturgjennomgang av effekt- og sikkerhetsdata for denne vaksinen (71). Hovedfunnene var at randomiserte kontrollerte studier på effekt av LAIV på barn gjort før pandemien i 2009 viste at levende nasal influensavaksine ga 60 – 90 % beskyttelse mot laboratoriebekreftet influensa. I sammenlignende studier fra samme tidsperiode ble det sett 30 – 50 % færre influensaepisoder hos dem som var vaksinert med levende vaksine enn hos dem som fikk inaktivert vaksine. Datagrunnlaget for denne anbefalingen er stort og av god kvalitet, men effektdataene var primært hentet fra kontrollerte studier som sammenlignet beskyttelsen fra inaktivert og levende attenuert vaksine i perioden før det nye influensa A(H1N1)pdm 2009-viruset ble introdusert.
I ettertid er det kommet observasjonsstudier som har sett på effekten av LAIV når vaksinen brukes i program, og disse studiene omfatter også sesonger dominert av den nye influensa A(H1N1)pdm 2009-stammen. Resultatene tyder på at effekten mot akkurat dette viruset kan variere mye fra land til land og mellom sesonger. Før oppstart av vaksinering i 2016/17-sesongen frarådet USAs folkehelseinstitutt (CDC) å bruke LAIV til barn på grunn av manglende effekt mot A(H1N1) over flere sesongers bruk i USA (72). Data fra Storbritannia (73;74) og Finland (75), hvor LAIV er en del av barnevaksinasjonsprogrammet, indikerer imidlertid at vaksinen der har hatt en moderat effekt mot influensa A(H1N1) i samme tidsrom. Effektestimatene fra disse studiene var på 47,9-57,6 %, noe som tilsvarer den beskyttelsen man oppnår etter vaksinasjon med inaktivert vaksine. Felles for alle disse studiene er at de har relativt få deltakere. Det øker usikkerheten i anslagene, og gjør det vanskelig å si om effektvariasjonene kan skyldes alderssammensetningen i studiene (effekten av vaksinen er best hos de mindre barna, som har mindre forutgående immunitet mot influensa).
I 2016 ble det også publisert en klynge-randomisert blindet studie fra Canada som dekket tre influensasesonger (2012-2015) og inkluderte 1185 barn fra 3-15 år som ble vaksinert med enten inaktivert influensavaksine (IIV) eller LAIV (76). Formålet var å undersøke hvorvidt LAIV gir bedre beskyttelse enn IIV mot laboratoriebekreftet influensa. Studien fant ingen forskjell i effekt mot influensa totalt sett (A og B) mellom de to vaksinetypene. Da de analyserte influensa A og influensa B hver for seg, så de imidlertid en noe bedre effekt av IIV mot influensa A, mens effekten mot influensa B var noe bedre for LAIV.
Generelt anses levende attenuert influensavaksine å gi like god beskyttelse mot influensa som inaktivert vaksine. Hvilken vaksine som foretrekkes må vurderes av den enkelte lege og foresatte på individuelt grunnlag.
Vaksineeffekt hos barn i risikogruppene
Studiene som er gjort inkluderer i første rekke friske barn og barn med astma, wheezing, og residiverende luftveisinfeksjoner. Med unntak av disse studiene, er det ikke gjort store beskyttelsesstudier for bruk av LAIV til barn i medisinske risikogrupper. For sykdomstilstander som cystisk fibrose, HIV og ulike kreftsykdommer, finnes det likevel enkelte studier for bruk av LAIV på barn. Antall studiedeltagere er imidlertid lite og det er hovedsakelig brukt surrogatendepunkter (korrelat til beskyttelse) som ikke er ansett som dekkende effektmål for LAIV. Vurderingen av effekt av influensavaksine hos barn i risikogruppene må derfor i stor grad baseres på data fra studier av friske barn og barn med astma, wheezing eller residiverende luftveisinfeksjon. Det er imidlertid ingen grunn til å tro at barn i risikogrupper uten immunsuppresjon har dårligere effekt av vaksinen, da disse forventes å ha et immunforsvar som gir tilsvarende respons på vaksinen (jfr (71).
Om behovet for årlig vaksinasjon
De som trenger beskyttelse mot influensainfeksjon anbefales å ta influensavaksinen hvert år, selv om mange kan ha immunitet som varer lenge mot enkelte influensavirus ved at de har vært smittet eller vaksinert tidligere.
Styrken og varigheten av immuniteten en person oppnår ved vaksinasjon kan variere. Dette kan blant annet avhenge av hvor gammel personen er og av hvilke hoved- og undervarianter av influensavirus personen har møtt på tidligere, ved smitte eller ved vaksinasjon. I noen tilfeller varer immunitet i mange år, kan hende livet ut, mens i andre tilfeller kan immuniteten tape seg merkbart allerede noen få måneder etter vaksinasjonen (77;78). I tillegg til at immuniteten over tid kan tape seg mot de virusvarianter man har støtt på, vil det stadig opptre endrede varianter som krever at immunresponsen oppdateres. Influensavaksinen revideres årlig med tanke på dette.
Dette komplekse bildet hvor immunapparatet utfordres av stadig nye virusvarianter opp gjennom livet, reflekteres også i en ufullstendig og sprikende vitenskapelig litteratur når det gjelder den samlede virkningen av gjentatte infeksjoner og vaksinasjoner på den enkeltes totale immunitet mot aktuelle influensavirus. Mye av resultatene avhenger av hvilken gruppe mennesker studien er gjort på, og i hvilken influensasesong. Det er like fullt holdepunkter for å anbefale at de som trenger å unngå influensa, sikrer seg best ved å ta influensavaksinen hvert år (79).